胃癌术后肠道环境变化的研究
人体内细胞总数约有40万亿个,而人体的肠道细菌数也将近40万亿,重量约在1~1.5kg。我们知道,肠道菌群紊乱会导致以“炎症性肠道疾病”为首的多种疾病。最近有研究表明,肠道内细菌的变化可能与胃切除等治疗手段相关。通常,胃切除术用来治疗胃癌和重度肥胖。在欧美国家有报道称,治疗重度肥胖接受胃切除手术后,患者的体重减轻会引起肠道内细菌发生变化。但是治疗胃癌实施的胃切除手术是否会对肠道环境产生影响,至今没有明确的答案。胃切除后的患者不仅会出现营养不良,贫血,倾倒综合症等症状,而且引发二次癌症--大肠癌的风险也会增高。因此,探索胃切除术后患者的肠道环境非常重要。
【研究机构】
该项研究由日本以下六个机构共同实施完成。
●东京工业大学 ●大阪大学 ●庆应义塾大学先端生命科学研究所
●国立癌症研究中心 ●日本医疗研究开发机构 ●科学计数振兴机构
**该研究于2020年1月7日在英国胃肠病学会杂志《Gut》上发表。
【研究对象】
胃癌术后患者(以下内容中所说的“胃切除”包括部分切除和全部切除)
【研究目的】
探讨 胃切除导致的肠道菌群构造及代谢物质的变化与术后并发症之间的关联。
改善 胃癌患者术后并发症的症状以及营养状况。
【研究成果】
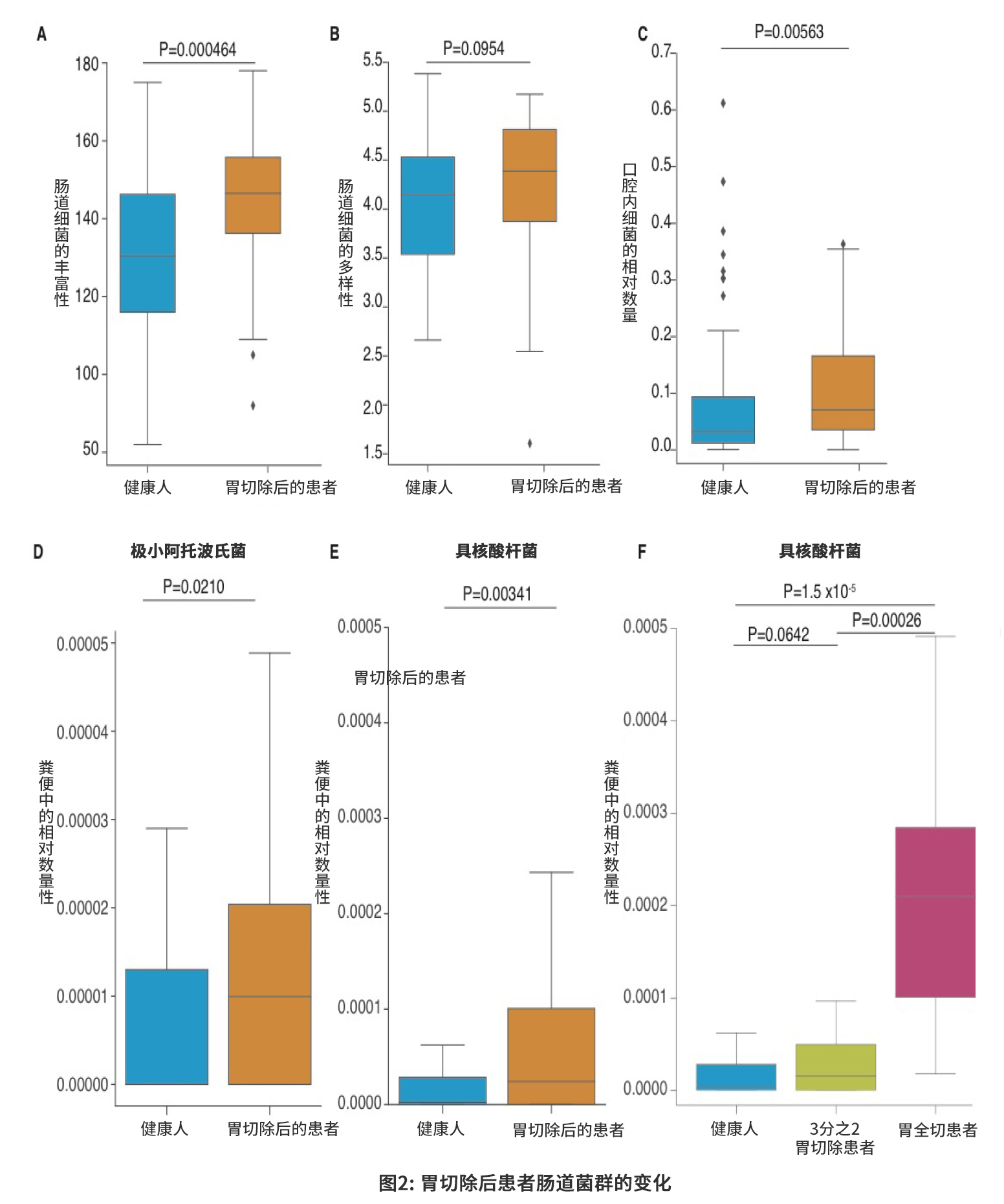
该研究项目纳入胃癌术后患者50例/健康人56例,共计106位试验者。通过调查他们的饮食等生活习惯,收集冷冻粪便样品,大肠内窥镜检查诊断,以及肠道菌群等临床信息进行分析和比较,探究胃切除患者特有的肠道细菌和代谢物质。结果发现:胃癌根治术及术后消化道重建术,会对肠道环境产生很大的影响。
★★对比健康人群,胃切除患者的肠道内细菌种类更加丰富,具有多样性。说明胃切除后,肠道内环境发生了变化。例如其中一项变化显示:胃切除患者口腔内细菌数量较健康人偏多。
★★胃切除患者术后出现的营养不良,贫血,腹泻,以及倾倒综合征的症状,是由于胃切除手术后,患者肠道内细菌的代谢功能发生了变化,从而影响了患者代谢功能的变化。
★★胃癌术后患者发生二次癌症--大肠癌的风险增高,可能是由于胃切除后,身体致癌机制发生变化,引发了与大肠癌相关的细菌种类和代谢物质较术前增多。尤其是胃全切患者,与大肠癌相关的肠道内细菌Fusobacterium nucleatum(具核梭杆菌)具有明显增多的现象。而且,引发肝癌和大肠癌的重要因素之一的脱氧胆酸也有增多迹象。因此,胃切除患者应当坚持定期进行包括肠镜在内的全身检查。
图表1:该研究成果的说明图

图表2:胃切除患者肠道菌群的变化

图表3:与大肠癌相关的菌群代谢物的变化

